Um den Einsatz von Edelmetallen zu reduzieren und die Kosten zu optimieren, haben Forscher bei
Fudar Alloys eine neue Art von versilberungssparendem elektrischem Kontaktmaterial entwickelt – ein Durchbruch, der der Branche neue Möglichkeiten eröffnet.
Funktionsprinzip und Materialanforderungen einer Thermosicherung
Die Grundfunktion einer Thermosicherung besteht darin, ein mechanisches Gerät auszulösen, das den Stromkreis durch das interne Thermomaterial unterbricht, wenn die Temperatur des Geräts einen festgelegten Wert erreicht. Je nach Schmelzmaterial werden Thermosicherungen in zwei Kategorien unterteilt: organische und legierte. Thermosicherungen organischer Art werden häufig in Haushaltsgeräten, Autoausrüstungen und anderen Bereichen verwendet. Thermosicherungen organischer Art
bestehen hauptsächlich aus Blei A/B, Vergussharz, Keramik, Feder A/B, Sternkontakt (beweglicher Kontakt, bewegliche Elektrode, Sternkontakt), Metallhülle und Thermopartikeln usw. Der Querschnitt des Normalzustands ist in Abbildung 1 dargestellt. Die bewegliche Elektrode berührt die Innenfläche der leitfähigen Metallhülle und kann darin bewegt werden. Die Druckfeder A befindet sich zwischen der beweglichen Elektrode und dem keramischen Isoliermaterial und die Druckfeder B befindet sich zwischen der beweglichen Elektrode und den Thermopartikeln. im Normalzustand sind die Druckfedern A und B zusammengedrückt, und da die Druckfeder B eine stärkere Elastizität als die Druckfeder A hat, wird die bewegliche Elektrode in Richtung des keramischen Isoliermaterials gedrückt, und die bewegliche Elektrode und die Leitung A kommen durch Druck in Kontakt, wobei die Leitung A üblicherweise aus versilbertem Kupfer besteht. Wenn daher die Leitung A und die Leitung B mit dem Kabel des elektronischen Geräts in Kontakt kommen, wird beispielsweise Strom von der Leitung A zur beweglichen Elektrode, von der beweglichen Elektrode zur Metallhülle und dann von der Metallhülle zur Leitung B übertragen und geleitet, wodurch das Stromschleifenschema wie in Abbildung 2 dargestellt ist. Das wärmeempfindliche Material ist eine organische Substanz, beispielsweise Adipinsäure mit einem Schmelzpunkt von 150 °C.
Abbildung 1 Organische Thermosicherung vor dem Eingreifen
Abbildung 2: Vorgesteuerte Stromschleife einer Thermosicherung vom organischen Typ
Der Querschnitt einer organischen Thermosicherung nach dem Auslösen ist in Abbildung 3 dargestellt. Wenn die angegebene Betriebstemperatur erreicht ist, wird das Thermopellet weich oder schmilzt und verformt sich aufgrund der Kompression der Druckfeder. Der Druck der Druckfeder B wird freigegeben. Aufgrund der Ausdehnung der Druckfeder B wird auch die Kompression der Druckfeder A freigegeben; aufgrund der Ausdehnung der Druckfeder A wird die bewegliche Elektrode von der Leitung A getrennt, sodass der Stromkreis unterbrochen wird. In diesem Zustand sollten Sie die Thermosicherung austauschen. Das schematische Diagramm des Stromkreises nach dem Auslösen der organischen Thermoabschaltung ist in Abbildung 4 dargestellt.
Abbildung 3: Thermische Sicherung vom organischen Typ nach dem Einschalten
Abbildung 4 Stromschleife einer organischen Thermosicherung nach dem Einschalten
Die oben genannte typische Struktur wird hauptsächlich bei Nennströmen kleiner oder gleich 16 A oder bei Nennströmen größer oder gleich 16 A verwendet. Normalerweise wird zwischen der Leitung A und der beweglichen Elektrode eine Nietenstruktur des schwimmenden Kontakts hinzugefügt. Das Material des schwimmenden Kontakts besteht normalerweise aus Silbermetalloxid, um die Zuverlässigkeit des Abschaltvorgangs zu gewährleisten. Das Strukturschema ist in Abbildung 5 dargestellt.
Abbildung 5 Schematischer Aufbau von Thermosicherungen vom organoleptischen Typ mit Nennströmen von 16 A oder mehr
Die Schlüsselkomponente der organischen Thermosicherung, der Sternkontakt, muss als Kern der Stromkreisverbindung die folgenden Anforderungen erfüllen:
1. Hohe Erweichungstemperatur: Gewährleistet eine stabile Kontaktleistung bei langfristigem Gebrauch.
2. Niedriger Kontaktwiderstand: Vermeidung von Wärmeentwicklung oder Funktionsverlust aufgrund erhöhten Widerstands.
3. Antistatische Schweißleistung: Die Kontakte müssen während des Abschalttests schnell abgeschnitten werden, um Schäden durch das Schweißen zu vermeiden.
4. Geeignete Härte: Unter normalen Bedingungen und nach dem Alterungstest (220 °C, 3 h) erfüllt die Härte die Standardanforderungen.
5. Geeignete Lichtbogenbrandbeständigkeit und Beständigkeit gegen Schmelzschweißen: Unter Bedingungen von Nennstrom und Nennspannung kann er normal einmal abgeschnitten werden.
6. Geeignete Plastizität: Der Sternkontakt bricht beim Formen, Zusammenbauen und Verwenden nicht.
Sternkontaktstruktur
Entwicklung versilberungssparender elektrischer Kontaktmaterialien
Um die Leistungsanforderungen an Thermosicherungen zu erfüllen und die Kosten zu senken, haben Forscher bei Fudar Alloy zwei innovative Materialien untersucht:
1. AgCuO-Material mit ausgezeichneter Plastizität
- Materialeigenschaften:
Vorteile: AgCuO hat eine gute elektrische Leitfähigkeit, eine mäßige Beständigkeit gegen Schmelzschweißen, einen geringen spezifischen Widerstand, eine gute thermische Stabilität und eine Beständigkeit gegen Materialübertragung.
Nachteile: Schlechte Plastizität, die die Verarbeitungseffizienz und den Materialverbrauch beeinträchtigt, die Gesamtkosten sind höher.
Verbesserungsprogramm:
Strukturdesign: Es wurde ein Verbundwerkstoff mit einer dreischichtigen Struktur aus AgCuO(15)/AgCu12/AgCuO(15) entwickelt, wobei die mittlere AgCu12-Schicht eine ausgezeichnete Formbarkeit bietet und die äußere Schicht gute Eigenschaften beibehält.
Herstellungsverfahren: Ein interner Oxidationsprozess wird verwendet, um die Formbarkeit, Festigkeit und elektrische Leitfähigkeit des Materials zu optimieren, indem der Oxidationsverlauf kontrolliert und die Partikelgröße angepasst wird.
Umfassende Wirkung:
Das verbesserte AgCuO-Material bietet ein Gleichgewicht zwischen Plastizität und Leistung, wodurch die Verarbeitungseffizienz und die Materialausnutzung verbessert werden und gleichzeitig die Nutzungsanforderungen erfüllt werden.
Ein Vergleich der Organisation und Morphologie von AgCuO(15)/AgCu12/AgCuO(15) und herkömmlichen AgCuO(15)-Materialien aus internem Oxidationsprozess ist in den Abbildungen 6 und 7 dargestellt.
Abbildung 6 AgCuO(15)/AgCu12/AgCuO(15) Organisation und Morphologie von AgCuO(15)/AgCu12/AgCuO(15)500X
Abbildung 7 Organisation und Morphologie von AgCuO(15), hergestellt durch konventionelle interne Oxidation 500X
Im Bereich der Thermosicherungen organischer Art hat die anfängliche Erweichungstemperatur des elektrischen Kontaktmaterials einen großen Einfluss auf die Stabilität des Kontaktwiderstands während der tatsächlichen Verwendung der Thermosicherung, und die Erweichungstemperatur muss üblicherweise mehr als 350 °C erreichen. Die Erweichungskurve des fertigen Produkts aus AgCuO (15)-Materialien und AgCuO (15)/AgCu12/AgCuO (15)-Materialien im konventionellen Prozess ist in Abbildung 8 dargestellt. Aus der Erweichungskurve ist ersichtlich, dass die anfängliche Erweichungstemperatur von AgCuO (15) etwa 500 bis 600 °C beträgt. Die anfängliche Erweichungstemperatur der aus mehreren AgCuO(15)-Schichten bestehenden AgCuO(15)-Oberflächenschicht beträgt ebenfalls ca. 500–600 °C, und die anfängliche Erweichungstemperatur der AgCu12-Zwischenschicht beträgt ca. 400–500 °C.

Abbildung 8 Erweichungskurve von AgCuO(15)/AgCu12/AgCuO(15) und AgCuO(15)
Weitere wichtige physikalische Eigenschaften von AgCuO(15)/AgCu12/AgCuO(15) und AgCuO(15)
Die Materialien sind in Tabelle 1 aufgeführt.
|
AgCuO(15) |
AgCuO(15)/ AgCu12/AgCuO(15)
|
| Elektrischer Widerstand μΩ·cm |
2,35 ~ 2,40 |
2,33 bis 2,38 |
| Dichte g/cm3 |
9,53 |
9,76 |
| AgCuO Härte der AgCuO-Schicht vor der Alterung HV0,1 |
85 bis 90 |
85 bis 90 |
| AgCuO Härte der AgCuO-Schicht nach Alterung HV0,1 |
80 bis 90 |
80 bis 90 |
| AgCu Härte der AgCu-Schicht vor der AlterungHV0,1 |
— |
95 bis 100 |
| AgCu Härte der AgCu-Schicht nach AlterungHV0,1 |
— |
90 bis 100 |
Tabelle 1 AgCuO(15)/AgCu12/AgCuO(15)和AgCuO(15) Physikalische Eigenschaften Daten für AgCuO(15)/AgCu12/AgCuO(15) und AgCuO(15)
Versilberungssparende Verbundwerkstoffe (AgCuONiO/Cu/AgCuONiO)
Materialstruktur:
Oberflächenschicht: Es wird AgCuONiO verwendet, das durch einen internen Oxidationsprozess hergestellt wird, um hervorragende Eigenschaften zu bieten.
Mittelschicht: Stattdessen wird Cu verwendet, um die Materialkosten zu senken.
Materialeigenschaften:
Hervorragende elektrische und thermische Leitfähigkeit, niedriger und stabiler Kontaktwiderstand; verschleißfest, wird durch Alterung nicht so leicht weich; Lichtbogenerosionsbeständig, zuverlässige Leistung.
Herstellungsprozess und Optimierung:
Der interne Oxidationsprozess wird verwendet, um Größe und Verteilung der Oxidpartikel durch Steuerung der Oxidationsparameter anzupassen und so die Leistungsanforderungen verschiedener Anwendungen zu erfüllen.
Dieses Material basiert auf dem Prinzip der Diffusionsverstärkung von Oxidpartikeln und in China und im Ausland wurde viel Forschung zu seinem internen Oxidationsmechanismus und seiner Parameteroptimierung durchgeführt.
Auf dem Gebiet der Verbundwerkstoffe hat das Forschungsteam von Fudar Alloy ein versilberungssparendes elektrisches Kontaktmaterial AgCuO/Cu/AgCuO entwickelt. Die Materialien AgCuONiO/ Cu/ AgCuONiO und AgCuO/ Cu/ AgCuO mit den Oberflächenschichten aus AgCuONiO und AgCuO weisen die üblichen Materialzusammensetzungen AgCuO(5)NiO(0,6) und AgCuO(15) auf. Ein Vergleich der Gesamtorganisation und Morphologie der Verbundstoffe ist in den Abbildungen 9 und 10 dargestellt.
Abbildung 9 AgCuONiO/ Cu/ AgCuONiO Organisation und Morphologie von AgCuONiO/ Cu/ AgCuONiO 500X
Abbildung 10 AgCuO/ Cu/ AgCuO Organisation und Morphologie von AgCuO/ Cu/ AgCuO 500X
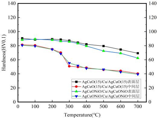
Die Erweichungskurven der Materialien AgCuONiO/ Cu/ AgCuONiO und AgCuO/ Cu/ AgCuO im fertig geglühten Zustand sind in Abbildung 11 dargestellt. Den Erweichungskurven zufolge ist zu erkennen, dass die Starterweichungstemperatur von AgCuO(15) in der Oberflächenschicht ca. 350–400 °C beträgt, die Starterweichungstemperatur von AgCuO(5)NiO(0,6) ca. 350–400 °C beträgt und die Starterweichungstemperatur von Cu im Mittelteil lediglich 200–250 °C beträgt, was einen großen Unterschied zwischen ihnen darstellt. In Bezug auf die Erweichungstemperatur kann das Material AgCuO/ Cu/ AgCuO dasselbe wie das Material AgCuONiO/ Cu/ AgCuONiO tun, und der Versilberungsspareffekt ist aufgrund des geringeren Silbergehalts in der Arbeitsschicht erheblich.
Abbildung 11 Erweichungskurven von AgCuO(15)/ Cu/ AgCuO(15)und AgCuONiO/Cu/AgCuONiO
Weitere wichtige physikalische Eigenschaften von AgCuONiO/ Cu/ AgCuONiO und AgCuO/Cu/AgCuO
Die Materialien sind in Tabelle 2 aufgeführt.
|
Agglutiniert/ Cu/ Agglutiniert |
AgCuO(15)/ Cu/ AgCuO(15) |
| Elektrischer Widerstand μΩ·cm |
1,90 ~ 1,95 |
2,08 bis 2,13 |
Dichte g/cm3
|
9.44 |
9.20 |
Die Härte der Oberflächenschicht vor der AlterungHV0.1
|
85 bis 90 |
85 bis 90 |
| Härte der Oberflächenschicht nach AlterungHV0.1 |
80 bis 90 |
80 bis 90 |
| Die Härte der Cu-Schicht vor dem Altern HV0,1 |
78 bis 83 |
78 bis 83 |
| Härte der Cu-Schicht nach Alterung HV0,1 |
65 bis 75 |
65 bis 75 |
Tabelle 2: Daten zu den physikalischen Eigenschaften von AgCuO(15)/Cu/AgCuO(15)和AgCuONiO/Cu/AgCuONiO für AgCuO(15)/Cu/AgCuO(15) und AgCuONiO/Cu/AgCuONiO
Umfassender Vergleich
AgCu-Legierung (festlösungsverstärkt):
– Vorteile: Hervorragende Plastizität, niedriger spezifischer Widerstand.
– Nachteile: Niedrige Schmelz- und Erweichungstemperaturen (ca. 950°C für AgCu1 und 850°C für AgCu15), schlechte Kontaktwiderstandsstabilität bei hohen Temperaturen und Langzeitgebrauch und geringere Abschaltleistung als Materialien auf Silberoxidbasis.
AgCuONiO und AgCuO (diffusionsverstärkt):
– Vorteile: Angemessene Plastizität, höherer Schmelzpunkt (962°C, wie Ag), höhere Erweichungstemperatur, bessere Langzeitstabilität des Kontaktwiderstands, größerer Temperaturbereich, hervorragende elektrische Eigenschaften.
– Nachteile: Etwas geringere elektrische Kontaktzuverlässigkeit von Verbundstrukturen im Vergleich zu monolithischen Materialien.
Dreischichtige Verbundwerkstoffe (AgCuONiO- oder AgCuO-Oberflächenschicht + Cu-Mittelschicht):
– Vorteile: Erhebliche Kostensenkung, bessere Plastizität, niedrigerer spezifischer Widerstand, einstellbare Dicke der Oberflächenschicht für unterschiedliche Szenarien.
- Nachteile: Niedrigere Erweichungstemperatur der Cu-Mittelschicht, verringerte Erweichungstemperatur der Oberflächenschicht, etwas höherer elektrischer Widerstand bei hohen Temperaturen, die Verbundschnittstelle kann die Zuverlässigkeit des elektrischen Kontakts beeinträchtigen.
AgCu-Legierungen eignen sich für Niedrigtemperatur- und Niedrigkostenszenarien; monolithische AgCuONiO- und AgCuO-Werkstoffe eignen sich für Hochtemperatur- und Hochleistungsszenarien; und Dreischicht-Verbundstoffe bieten ein Gleichgewicht zwischen Leistung und Kosten, aber die Zuverlässigkeit unter Hochtemperaturbedingungen erfordert Aufmerksamkeit.
Zukünftige Entwicklung
Um die Kosten weiter zu senken und die Materialleistung zu verbessern, empfiehlt die Studie:
1. Entwicklung von silberbasierten Werkstoffen mit niedrigem Silbergehalt: Effiziente Formulierungen mit niedrigem Silbergehalt wie AgCuO(20).
2. Optimierung der Verbundkernschicht: Verwendung von hochfesten und hochleitfähigen Kupferlegierungen anstelle von gewöhnlichem Kupfer, um die Gesamterweichungstemperatur zu erhöhen.
3. Verbesserung der Paarungsstruktur: Hinzufügen einer Silberoxidschicht an der Kontaktstelle von Sternkontakt und Anschlussdraht, um die Schmelzschutzschweißleistung zu verbessern.
Abschluss
Die Entwicklung silbersparender elektrischer Kontaktmaterialien erfüllt nicht nur die strengen Anforderungen an die Zuverlässigkeit und Leistung von Thermosicherungen, sondern bietet auch eine praktikable Lösung zur Kostensenkung und Ressourceneffizienz. Mit der kontinuierlichen Weiterentwicklung der Technologie werden diese innovativen Materialien ihr Potenzial in weiteren Bereichen zeigen, um den sicheren Betrieb elektrischer Geräte zu gewährleisten. Wenn Sie Fragen zu silbersparenden elektrischen Kontaktmaterialien haben, können Sie sich gerne an uns wenden.